Home Etalon primar Publicatii Etalonări Incertitudini Comparații Prezentări Legaturi utile 

                                                                                                                                                                                                                                 Acest web site a fost optimizat pentru Browser-ul Microsoft Internet Explorer 6.0.

Up Next
 
 

 

 
 

 

 

EVALUAREA INCERTITUDINII DE ETALONARE A CELULELOR PENTRU MATERIALIZAREA PUNCTELOR FIXE DE DEFINIȚIE ALE SIT-90

  

Sonia GAIȚĂ

1  MODELAREA MĂSURĂRII

Mărimea care interesează la etalonarea celulelor pentru puncte fixe este diferența dintre temperatura materializată cu celula de etalonat și temperatura materializată cu celula de referință.

Astfel, funcția de modelare este: 

ΔTPF = (TPF)v – (TPF)e                                                                         (1)

unde

(TPF)v este temperatura materializată cu celula de etalonat;

(TPF)e - temperatura materializată cu celula de referință. 

Temperatura materializată se calculează pe baza valorii raportului WPF determinată la punctul fix respectiv:

WPF = RPF /R0,01                                                                                              (2)

unde

RPF               rezistența determinată la temperatura punctului fix respectiv;

R0,01             rezistența determinată la temperatura punctului triplu al apei:  

            

            R0,01  =  Re (X0,01 + δX0,01/1 + δX0,01/2 + δX0,01/3 + δX0,01/4+ δX0,01/5 + δX0,01/6 + δX0,01/7)                      (3)

 

RPF = (Re + δRe/1 + δRe/2) (XPF  + δXPF/1 + δXPF/2 + δXPF/3+ δXPF/4 + δXPF/5 + δXPF/6 + δXPF/7)                     (4)

 

Astfel, determinarea diferenței de temperatură ΔT90 se reduce la determinarea diferenței rapoartelor WPF obținute cu cele două celule:

                                                     ΔWPF = (WPF)v  - (WPF)e                                                                           (5)

a cărui incertitudine standard compusă va fi evaluată în continuare.

Mărimile de intrare legate de rezistorul etalon:

Re                           este valoarea rezistenței rezistorului de referință în momentul efectuării măsurărilor la PTA;

δRe/1                       corecția derivei rezistenței rezistorului de referință între măsurările la PTA și la PF; 

δRe/2                       corecția variației rezistenței rezistorului de referință, în funcție de temperatură, între măsurările la PTA și PF.

 

Mărimile de intrare care intervin la etalonarea efectuată la punctul triplu al apei:

 X 0.01 °C                 raportul indicat de punte la punctul triplu al apei

δX0.01/1                      corecția abaterii datorată impurităților chimice și variației compoziției izotopice

δX0.01/2                       corecția efectului presiunii hidrostatice

δX0.01/3                       corecția influenței fluxurilor de căldură parazite

δX X0.01/4                    corecția efectului de auto-încălzire

δX X0.01/5                    corecția influențelor asupra punții de măsurare

δX X0.01/6                    corecția diferenței dintre măsurările în c.a. și măsurările în c.c.

δX X0.01/7                    corecția pierderilor electrice prin izolația TERP.

 

Mărimile de intrare care intervin la etalonarea la un anumit punct fix, altul decât punctul triplu al apei:              

X PF                         raportul indicat de punte la punctul fix respectiv

δXPF/1                          corecția abaterii datorată impurităților chimice

δXPF/2                          corecția efectului presiunii hidrostatice

δXPF/3                          corecția influenței fluxurilor de căldură parazite

δXPF/4                          corecția efectului de auto-încălzire

δXPF/5                          corecția influențelor asupra punții de măsurare

δXPF/6                          corecția diferenței dintre măsurările în c.a. și măsurările în c.c.

δXPF/7                           corecția abaterii presiunii gazului din celulă de la valoarea de referință.

 

Funcția de modelare a măsurării raportului WPF este atunci:

 

                          (6)

        

 Pentru simplificare, se fac notațiile:

 Re/1 = δRe/1 / Re  corecția derivei relative a rezistenței rezistorului de referință între măsurările la PTA și la PF; 

Re/2 = δRe/2 / Re    corecția variației relative a rezistenței rezistorului de referință, în funcție de temperatură, între măsurările la PTA și PF

 și funcția de modelare a măsurării raportului WPF  devine:

 

                      (7)

 

 

 2 CONTRIBUȚIILE LA INCERTITUDINEA STANDARD COMPUSĂ

 

Raportul X PF indicat de punte la punctul fix respectiv

Întrucât valoarea  raportului XPF  se determină dintr-o serie de n 10  observații repetate și independente statistic obținute în cursul palierului de solidificare/topire, avem de-a face cu o evaluare de tip A. Estimația mărimii de intrare este x1 = XPF, med, media aritmetică a celor n observații, iar incertitudinea standard asociată cu x1 este abaterea standard experimentală a mediei, u(x1) = s(XPF, med). Distribuția de probabilitate este o distribuție normală. Coeficientul de sensibilitate este :

 c1 = ∂WPF/∂XPF = (1 + ∆Re/1 +Re/2)/ (X0,01 + δX0,01/1 + δX0,01/2 + δX0,01/3  + δX0,01/4 + δX0,01/5 + δX0,01/6 + δX0,01/7).  

Ca urmare, contribuția la incertitudinea standard compusă uc(WPF) a incertitudinii standard u(x1) este: u1(WPF) = c1 s(XPF, med).

 Corecția abaterii datorate impurităților chimice, δXPF/1

Influența impurităților chimice din substanța de punct fix asupra temperaturii punctului de solidificare/topire este dificil de evaluat. CCT și EUROMET recomandă ca incertitudinea legată de impurități să fie estimată pe baza dispersiei rezultatelor obținute pentru un set de celule de același tip. În cazul substanțelor de puritate ridicată, incertitudinea se determină pe baza abaterilor standard obținute în cadrul comparațiilor cheie ale CIPM. Estimația corecției δXPF/1 este x2 = 0 în limitele incertitudinii evaluate în urma comparației, u(x2). Coeficientul de sensibilitate este c2 = ∂WPF/∂δXPF/1 = (1 + Re/1 +Re/2)/ (X0,01 + δX0,01/1 + δX0,01/2 + δX0,01/3  + δX0,01/4 + δX0,01/5 + δX0,01/6 + δX0,01/7) = c1. Ca urmare, contribuția lui u(x2) la incertitudinea standard compusă uc(WPF) va fi: u2(WPF) = c1 u(x2).

Corecția efectului presiunii hidrostatice, δXPF/2          

La o adâncime de h metri sub suprafața metalului lichid, temperatura de echilibru t90 la interfața solid/lichid este dată de t90 = A + Bh, unde A este valoarea temperaturii punctului fix respectiv iar B este coeficientul de variație a temperaturii cu adâncimea de imersie. Estimația lui  δXPF/2  este x3  cu incertitudinea standard asociată u(x3). Coeficientul de sensibilitate este c3 = ∂WPF/∂δXPF/2 = c1. Ca urmare, contribuția lui u(x3) la incertitudinea standard compusă uc(WPF)  este: u3(WPF) = cu(x3).                                      

Corecția influenței fluxurilor de căldură parazite, δXPF/3    

Pentru a se estima incertitudinea datorată fluxurilor de căldură parazite, se studiază variația temperaturii cu adâncimea de imersie a TERP în tubul celulei. Valoarea obținută este prea grosieră pentru a fi folosită ca o corecție, însă poate fi utilizată la evaluarea incertitudinii asociate acesteia. Estimația lui δXPF/3 este x4 = 0 în limitele a ± a4, unde a4 este variația maximă a temperaturii obținută la o deplasare pe verticală a TERP, din 1 cm în 1 cm, pe o distanță egală cu lungimea elementului sensibil. Incertitudinea standard de tip B a acestei distribuții dreptunghiulare este u(x4) = a4 /(2√3). Coeficientul de sensibilitate este c4 = ∂WPF/∂δXPF/4. = c1. Ca urmare, contribuția lui u(x4) la incertitudinea standard compusă uc(WPF) este: u4(WPF) = cu(x4 ).

Corecția efectului de auto-încălzire, δXPF/4

Mărimea efectului de auto-încălzire poate fi calculată prin măsurarea rezistenței electrice cu două valori ale curentului de măsurare și extrapolându-se valoarea la curent zero. Estimația lui δXPF/4  este x5 în limitele a ± a5. Incertitudinea standard de tip B a acestei distribuții dreptunghiulare este u(x5) = a5 /(2√3). Coeficientul de sensibilitate este c5 = ∂WPF/∂ δXPF/4. = c1. Ca urmare, contribuția la incertitudinea standard compusă a lui u(x5) este: u5(WPF) = cu(x5 ).

Corecția influențelor legate de puntea de măsurare, δXPF/5             

Această corecție este legată de neliniaritatea punții δXPF/5a, de rezoluția finită a indicațiilor la punctul fix respectiv, δXPF/5b, de corecția obținută în cursul etalonării, δXPF/5c, de deriva acestei corecții, δXPF/5d și de corecția influenței temperaturii mediului ambiant asupra indicațiilor punții, δXPF/5e

          δXPF/5 = δXPF/5a + δXPF/5b + δXPF/5c + δXPF/5d  + δXPF/5e                                                         (8)

Incertitudinea standard compusă asociată lui δXPF/5  se obține prin compunerea pătratică a incertitudinilor asociate celor 5 mărimi de intrare. Coeficientul de sensibilitate este c6 = ∂WPF/∂ δXPF/5. = c1. Ca urmare, contribuția la incertitudinea standard compusă a lui u(x6) este: u6(WPF) = cu(x6 ).  

●     Corecția datorată neliniarității punții de măsurare, δXPF/5a

Pentru punțile de înaltă exactitate folosite cu etalonul național, se poate considera că estimația acestei corecții este zero în limitele specificate de fabricant, ±a6a. Incertitudinea standard de tip B a acestei distribuții dreptunghiulare este u(x6a) = a6a /(2√3). Coeficientul de sensibilitate este c6a =∂δXPF/5 / ∂δXPF/5a = 1. Ca urmare, contribuția lui u(x6a) la incertitudinea standard compusă uc(δXPF/5) este: u6a(δXPF/5) =  u(x6a ).

●     Corecția datorată rezoluției finite a punții de măsurare, δXPF/5b      

Estimația acestei corecții este x6b = 0 iar incertitudinea standard de tip B este u(x6b) în limitele a ± a6b, unde a6b este rezoluția punții. Incertitudinea standard de tip B a acestei distribuții dreptunghiulare este u(x6b) = a6b /(2√3). Coeficientul de sensibilitate este c6b =∂δXPF/5 / ∂δXPF/5b = 1. Ca urmare, contribuția lui u(x6b) la incertitudinea standard compusă uc(δXPF/5) este: u6b(δXPF/5) =  u(x6b ).

●     Corecția indicațiilor punții la punctul fix, δXPF/5c

Estimația acestei corecții este x6c = 0 iar incertitudinea standard de tip B este u(x6c) = U1/2, unde U1 este incertitudinea extinsă pentru k = 2. Coeficientul de sensibilitate este c6c =∂ δXPF/5 / ∂ δXPF/5c = 1. Ca urmare, contribuția lui u(x6c) la incertitudinea standard compusă uc(δXPF/5) este: u6c(δXPF/5) =  U1/2.

●     Corecția derivei în timp a indicațiilor punții la punctul fix, δXPF/5d

Deriva în timp a indicațiilor punții la punctul fix respectiv este estimată din istoria etalonărilor sale. Valoarea obținută este prea grosieră pentru a fi folosită ca o corecție, însă poate fi utilizată la evaluarea incertitudinii asociate acesteia. Estimația lui δXPF/5d  este x6d = 0 în limitele a ± a6d, unde a6d este deriva maximă cunoscută. Incertitudinea standard de tip B a acestei distribuții dreptunghiulare va fi u(x6d) = a6d /(2√3).  Coeficientul de sensibilitate este c6d = ∂ δXPF/5 / ∂ δXPF/5d = 1. Ca urmare, contribuția lui u(x6d) la incertitudinea standard compusă uc(δXPF/5) este: u6d(δXPF/5) =  a6d /(2√3).  

●     Corecția influenței temperaturii mediului ambiant asupra indicațiilor punții, δXPF/5e

Dacă puntea este utilizată la o temperatură a mediului ambiant din afara domeniului recomandat, influența parametrilor mediului ambiant asupra indicațiilor sale se estimează pe baza specificațiilor producătorului. În general, această influență este exprimată prin indicarea valorii unui coeficient de temperatură, {α}ºC-1. Astfel, pentru o temperatură a mediului ambiant care diferă cu {n}ºC de una din limitele domeniului recomandat, estimația corecției este x6e = 0 în limitele a ± {n}ºC {α}ºC-1/2. Incertitudinea standard de tip B a acestei distribuții dreptunghiulare va fi u(x6e) = {n}ºC {α}ºC-1 /(2√3). Coeficientul de sensibilitate este c6e = ∂ δXPF/5 / ∂ δXPF/5e = 1. Ca urmare, contribuția lui u(x6e) la incertitudinea standard compusă uc(δXPF/5) este: u6e(δXPF/5) =  {n}ºC {α}ºC-1 /(2√3). În cadrul lucrărilor cu etalonul național au fost respectate condițiile de mediu recomandate de producătorii celor două punți, astfel încât incertitudinea asociată acestei corecții este neglijabilă.  

 Corecția diferenței dintre măsurările în c.a. și măsurările în c.c., δXPF/6              

Se determină prin măsurarea comparativă cu o punte în c.c. și în c.a.  Estimația acestei corecții este x7 = 0 în limitele a ± a7. Incertitudinea standard de tip B a acestei distribuții dreptunghiulare este u(x7) = a7 /(2√3). Coeficientul de sensibilitate este c7 = ∂WPF/∂ δXPF/6. = c1. Ca urmare, contribuția lui u(x7) la incertitudinea standard compusă uc(δXPF/6) este: u7(δXPF/6) =  c1 u(x7 ).  

Corecția variației temperaturii de solidificare datorată abaterii presiunii gazului din celulă de la valoarea de referință, δXPF/7

Celulele pentru punctele de solidificare/topire sunt închise etanș, presiunea gazului din celulă fiind de o atmosferă normală. Incertitudinea presiunii de umplere este convertită într-o incertitudine a temperaturii prin coeficientul de temperatură dt/dp. Estimația lui δXPF/7 este x8 iar incertitudinea standard asociată este u(x8). Coeficientul de sensibilitate este c8 = ∂WPF/∂ δXPF/7 =c1. Ca urmare, contribuția lui u(x8) la incertitudinea standard compusă uc(δXPF/7) este: u8(δXPF/7) = c1 u(x8).

Raportul X 0.01 °C indicat de punte la punctul triplu al apei

 Întrucât valoarea  raportului X 0.01 °C  se determină dintr-o serie de n 10  observații repetate și independente statistic obținute la punctul triplu al apei, avem de-a face cu o evaluare de tip A. Estimația mărimii de intrare este x9 = X0,01, med, media aritmetică a celor n observații, iar incertitudinea standard asociată cu x9 este abaterea standard experimentală a mediei, u(x9) = s(X0,01, med). Distribuția de probabilitate este o distribuție normală. Coeficientul de sensibilitate este :

c9 = ∂WPF/∂X0,01 = - (1 + ∆Re/1 +Re/2) (XPF + δXPF/1 + δXPF/2 + δXPF/2 + δXPF/3 + δXPF/3  + δXPF/4  + δXPF/5 + δXPF/6  + δXPF/7) / (X0,01 + δX0,01/1 + δX0,01/2 + δX0,01/3  + δX0,01/4 + δX0,01/5 + δX0,01/6 + δX0,01/7)2 = - WPF (1 + ∆Re/1 +Re/2) (X0,01 + δX0,01/1 + δX0,01/2 + δX0,01/3  + δX0,01/4 + δX0,01/5 + δX0,01/6 + δX0,01/7).

Ca urmare, contribuția la incertitudinea standard compusă uc(WPF) a incertitudinii standard u(x9) este: u9(WPF) = c9 s(X0,01, med).

Pentru fiecare dintre următoarele 6 mărimi de intrare ale etalonării la punctul triplu al apei, evaluarea estimației xi, a incertitudinii standard u(xi), a coeficientului de sensibilitate ci și a contribuției ui(y) la incertitudinea standard compusă se face așa cum s-a arătat mai sus pentru etalonarea la punctul fix.

Corecția pierderior electrice interne prin izolația TERP, δX X0.01/7              

Corecția pierderilor electrice prin izolația TERP este estimată a fi x16 = 0  în limitele a ± a16. Incertitudinea standard de tip B a acestei distribuții dreptunghiulare este u(x16) = a16 /(2√3). Coeficientul de sensibilitate este c16 = ∂WPF/∂ δX0,01/7. = c9. Ca urmare, contribuția lui u(x16) la incertitudinea standard compusă uc(WPF) este: u16(WPF) =  c9 u(x16 ).

Corecția derivei relative a rezistenței rezistorului de referință între măsurările la PTA și la PF, Re/1

Măsurările la PTA trebuie să fie efectuate imediat după măsurările la PF. În aceste condiții, Re/1 și incertitudinea asociată sunt neglijabile.

 Corecția variației relative a rezistenței rezistorului de referință, în funcție de temperatură, între măsurările la PTA și PF, Re/2

Temperatura băii cu ulei în care este menținut rezistorul de referință se măsoară cu un termometru din sticlă cu mercur având incertitudinea de etalonare U2 = 0,015 ºC și factorul de extindere k =2.­ Valorile TERP se determină pe baza valorilor corectate cu temperatura ale rezistenței electrice a rezistorului de referință. În cadrul lucrărilor cu etalonul național, se utilizează rezistoare de referință cu coeficienți mici de temperatură, iar temperatura băii cu ulei se menține în limitele a maximum 0,02 ºC pe durata măsurărilor; în aceste condiții, incertitudinea asociată corecției Re/2 este neglijabilă. 

 Dispersia valorilor raportului WPF, sWPF

Se calculează abaterea standard experimentală a mediei celor minimum n = 3 valori ale raportului WPF  determinate în cursul etalonării TERP.

 

3 BILANȚUL INCERTITUDINII DE MĂSURARE 

Mărimea

                 Xi

Estimația

                   xi

Incertitudinea standard

u(xi)

Distribuția de probabilitate

Coeficientul de sensibilitate

 ci

Contribuția la incertitudinea standard compusă

ui(y)= ci  u(xi)

XPF

XPF, med

s(XPF, med)

normală

c1

c1  s(XPF, med)

δXPF/1

0

u(x2)

normală

c1

c1  u(x2)

δXPF/2

x3

u(x3)

dreptunghiulară

c1

c1  u(x3)

δXPF/3

0

a4 /(2√3)

dreptunghiulară

c1

c1  a4 /(2√3)

δXPF/4

x5

a5 /(2√3)

dreptunghiulară

c1

c1  a5 /(2√3)

δRPF/5

x6

u(x6)

dreptunghiulară

c1

c1  u(x6)

δXPF/6

0

a7 /(2√3)

dreptunghiulară

c1

c1 a7 /(2√3)

δXPF/7

x8

u(x8)

dreptunghiulară

c1

c1  u(x8)

X’0,01

X0,01,med

 s(X0,01, med)

normală

c9

c9  s(X0,01, med)

δX0,01/1

x10

u(x10)

normală

c9

c9 u(x10)

δX0,01/2

x11

u(x11)

dreptunghiulară

c9

c9  u(x11)

δX0,01/3

0

a12 /(2√3)

dreptunghiulară

c9

  c9  a12 /(2√3)

δX0,01/4

x13

a13 /(2√3)

dreptunghiulară

c9

c9  a13 /(2√3)

δX0,01/5

x14

u(x14)

dreptunghiulară

c9

c9  u(x14)

δX0,01/6

x15

u(x15)

dreptunghiulară

c9

c9 u(x15)

δX0,01/7

x16

a16 /(2√3)

dreptunghiulară

c10

  c9 a16 /(2√3)

∆Re/1

 

neglijabilă

 

 

 

∆Re/2

 

neglijabilă

 

 

 

 

 

sWPF

normală

 

sWPF

WPF

 

 

 

 

uc(WPF)

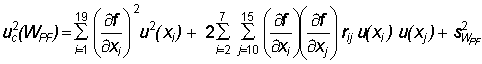
Incertitudinea standard compusã asociatã cu WPF, uc(WPF), se determinã folosind legea de propagare a incertitudinilor pentru mãrimi de intrare corelate, care devine:         

 

                                            (9)

 

unde x1, x2, …, x19  sunt estimațiile de intrare și f este funcția de modelare (ecuația 4), cu forma sa analiticã datã de ecuația (9).

Valorile coeficienților de corelație pot fi considerați a fi egali cu zero deoarece:

   Coeficienții de sensibilitate ∂WPF/∂ δX0,01/i. sunt negativi

  Valorile coeficienților de corelație rij sunt pozitivi.

Ca urmare, dacă se atribuie valoarea zero coeficienților rij, rezultă că valoarea incertitudinii uc(WPF) va fi maximă.

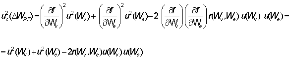
Incertitudinea standard compusã asociatã diferenței, uc(ΔW), se determinã folosind legea de propagare a incertitudinilor pentru mărimi de intrare corelate:  

                                   (10)

 

unde f este funcția de modelare (7).

Pentru a exprima ucWPF) în unități de temperatură, se utilizează relația:

                                                                  (11)

 

 

Up Next

 

 
       © 2007 Sonia Gaita